2015年江西数学理科试题及答案word在线版
2015年江西高考理科数学试题第I卷
注意事项:
1.2015年江西高考理科数学卷分第Ⅰ卷(选择题)和第Ⅱ卷(非选择题)两部分。第Ⅰ卷1至3页,第Ⅱ卷3至5页。
2.答题前,考生务必将自己的姓名、准考证号填写在本试题相应的位置。
3.全部答案在答题卡上完成,答在本试题上无效。
4. 考试结束后,将本试题和答题卡一并交回。
选择题:本大题共12小题,每小题5分,在每小题给出的四个选项中,只有一项是符合题目要求的.
(1) 设复数z满足
=i,则|z|=
(A)1 (B)
(C)
(D)2
(2)sin20°cos10°-con160°sin10°=
(A)
(B)
(C)
(D)
(3)设命题P:
n
N,
>
,则
P为
(A)
n
N,
>
(B)
n
N,
≤
(C)
n
N,
≤
(D)
n
N,
=
(4)投篮测试中,每人投3次,至少投中2次才能通过测试.已知某同学每次投篮投中的概率为0.6,且各次投篮是否投中相互独立,则该同学通过测试的概率为
(A)0.648 (B)0.432 (C)0.36 (D)0.312
(5)已知M(x0,y0)是双曲线C:
上的一点,F1、F2是C上的两个焦点,若
<0,则y0的取值范围是
(A)(-
,
) (B)(-
,
)
(C)(
,
) (D)(
,
)
(6)《九章算术》是我国古代内容极为丰富的数学名著,书中有如下问题:“今有委米依垣内角,下周八尺,高五尺.问:积及为米几何?”其意思为:“在屋内墙角处堆放米(如图,米堆为一个圆锥的四分之一),米堆底部的弧度为8尺,米堆的高为5尺,问米堆的体积和堆放的米各为多少?”已知1斛米的体积约为1.62立方尺,圆周率约为3,估算出堆放斛的米约有

(A)14斛 (B)22斛 (C)36斛 (D)66斛
(7)设D为
ABC所在平面内一点
,则
(A)
(B) 
(C)
(D) 
(8)函数f(x)=
的部分图像如图所示,则f(x)的单调递减区间为
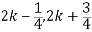
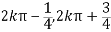
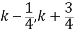
(A)(
),k
(b)(
),k
(C)(
),k
(D)(
),k

(9)执行右面的程序框图,如果输入的t=0.01,则输出的n=
(A)5 (B)6 (C)7 (D)8

(10)
的展开式中,
的系数为
(A)10 (B)20 (C)30 (D)60
(11)圆柱被一个平面截去一部分后与半球(半径为r)组成一个几何体,该几何体三视图中的正视图和俯视图如图所示.若该几何体的表面积为16 + 20
,则r=

(A)1 (B)2 (C) 4 (D)8
12.设函数f(x)=ex(2x-1)-ax+a,其中a
1,若存在唯一的整数x0,使得f(x0)
0,则a的取值范围是( )
A.[
,1) B. [
) C. [
) D. [
,1)
(文章来源招生考试网,转载请注明原文出处: https://www.sczsxx.com/html/gaokaoziyuan/liniangaokaoshiti/2015/0609/119498.html)
- 热门内容