2015年北京数学文科试题及答案word在线版
2015年北京文科数学选择题
(共8小题,每小题5分,共40分。在每小题列出的四个选项中,选出符合题目要求的一项。)
(1)若集合A={x|□5<x<2},B={x|□3<x<3},则A□B=
A. 3<x<2 B. 5<x<2 C. 3<x<3 D. 5<x<3
(2)圆心为(1,1)且过原点的圆的方程是
(A)(x□1)2+(y□1)2=1 (B)(x+1)2+(y+1)2=1
(C)(x+1)2+(y+1)2=2 (D)(x□1)2+(y□1)2=2
(3)下列函数中为偶函数的是()
(A)y=x^2sinx (B)y=x^2cosx (C)Y=|ln x| (D)y=2x
(4)某校老年,中年和青年教师的人数见下表,采用分层抽样的方法调查教师的身体情况,在抽取的样本中,青年教师有320人,则该样本的老年人数为()
(A)90 (B)100 (C)180 (D)300
| 类别 | 人数 |
| 老年教师 | 900 |
| 中年教师 | 1800 |
| 青年教师 | 1600 |
| 合计 | 4300 |
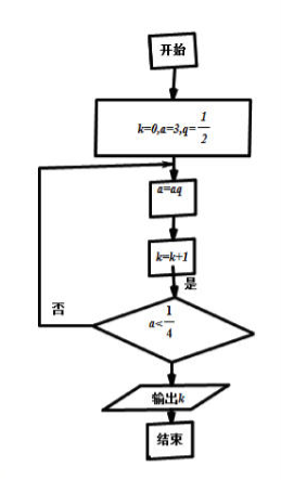
(5)执行如果所示的程序框图,输出的k值为

(A)3 (B)4 (C)5 (D)6
(6)设a,b是非零向量,“a·b=IaIIbI”是“a//b”的
(A) 充分而不必要条件
(B) 必要而不充分条件
(C)充分必要条件
(D)既不充分也不必要条件
(7)某四棱锥的三视图如图所示,该四棱锥最长棱的棱长为
(A)1 (B)
(B)
(D)2

(8)某辆汽车每次加油都把油箱加满,下表记录了该车相邻两次加油时的情况。
注:“累计里程”指汽车从出厂开始累计行驶的路程
在这段时间内,该车每100千米平均耗油量为

(A)6升
(B)8升
(C)10升
(D)12升
(文章来源招生考试网,转载请注明原文出处: https://www.sczsxx.com/html/gaokaoziyuan/liniangaokaoshiti/2015/0609/119510.html)
- 热门内容