2015年江西数学文科试题及答案word在线版[三]
三、解答题
17. (本小题满分12分)已知
分别是
内角
的对边,
.
(I)若
,求
(II)若
,且
求
的面积.
18. (本小题满分12分)如图四边形ABCD为菱形,G为AC与BD交点,
,

(I)证明:平面
平面
;
(II)若
,
三棱锥
的体积为
,求该三棱锥的侧面积.
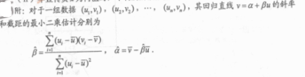
19. (本小题满分12分)某公司为确定下一年度投入某种产品的宣传费,需了解年宣传费x(单位:千元)对年销售量y(单位:t)和年利润z(单位:千元)的影响,对近8年的宣传费
和年销售量
数据作了初步处理,得到下面的散点图及一些统计量的值.
(I)根据散点图判断,
与
,哪一个适宜作为年销售量y关于年宣传费x的回归方程类型(给出判断即可,不必说明理由);
(II)根据(I)的判断结果及表中数据,建立y关于x的回归方程;
(III)已知这种产品的年利润z与x,y的关系为
,根据(II)的结果回答下列问题:(www.sczsxx.com)
(i)当年宣传费
时,年销售量及年利润的预报值时多少?
(ii)当年宣传费
为何值时,年利润的预报值最大?


20. (本小题满分12分)已知过点
且斜率为k的直线l与圆C:
交于M,N两点.
(I)求k的取值范围;
(II)
,其中O为坐标原点,求
.
21. (本小题满分12分)设函数
.
(I)讨论
的导函数
的零点的个数;
(II)证明:当
时
.
请考生在22、23、24题中任选一题作答,如果多做,则按所做的第一题计分,作答时请写清题号
22. (本小题满分10分)选修4-1:几何证明选讲
如图AB是
O直径,AC是
O切线,BC交
O与点E.

(I)若D为AC中点,求证:DE是
O切线;
(II)若
,求
的大小.
23. (本小题满分10分)选修4-4:坐标系与参数方程
在直角坐标系
中,直线
,圆
,以坐标原点为极点,x轴正半轴为极轴建立极坐标系.
(I)求
的极坐标方程.
(II)若直线
的极坐标方程为
,设
的交点为
,求
的面积.
24. (本小题满分10分)选修4-5:不等式选讲
已知函数
.
(I)当
时求不等式
的解集;
(II)若
图像与x轴围成的三角形面积大于6,求a的取值范围.
(文章来源招生考试网,转载请注明原文出处: https://www.sczsxx.com/html/gaokaoziyuan/liniangaokaoshiti/2015/0609/119520.html)
- 热门内容