2015年山东数学理科试题及答案word在线版[二]
日期:2015-06-09
来源:高考数学
点击:
二、填空题:
(本大题共5小题,每小题5分,共25分。)
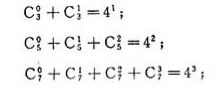
(11)观察下列各式:
C10
=40

……
照此规律,当n
N时,
C02n-1 + C12n-1 + C22n-1 +…+ Cn-12n-1 = .
(12)若“
x
[0,
],tanx
m”是真命题,则实数m的最小值为 .
(13)执行右边的程序框图,输出的T的值为 .
(14)已知函数
的定义域和值域都是
,则
(15)平面直角坐标系xOy中,双曲线C:
(a>0,b>0)的渐近线与抛物线C2:
X2=2py(p>0)交于O,若OAB的垂心为C2的焦点,则C 1的离心率为 ___
(文章来源招生考试网,转载请注明原文出处: https://www.sczsxx.com/html/gaokaoziyuan/liniangaokaoshiti/2015/0609/119549.html)
特别说明:招生考试网【www.sczsxx.com】所提供的信息仅供参考,相关信息以权威部门公布的信息为准。
- 热门内容