2015年山东数学理科试题及答案word在线版[三]
三、解答题:
(本答题共6小题,共75分)
(16)(本小题满分12分)
设f(x)=
2(x+
).
(Ⅰ)求f(x)的单调区间;
(Ⅱ)在锐角ABC中,角A,B,C,的对边分别为a,b,c,若f(
)=0,a=1,求ABC面积的最大值。
(17)(本小题满分12分)
如图,在三棱台DEF-ABC中,
AB=2DE,G,H分别为AC,BC的中点。
(Ⅰ)求证:BC//平面FGH;
(Ⅱ)若CF⊥平面ABC,AB⊥BC,CF=DE, ∠BAC=
,求平面FGH与平面ACFD所成的角(锐角)的大小.
(18)(本小题满分12分)
设数列
的前n项和为
.已知2
=
+3.
(I)求
的通项公式;
(II)若数列
满足
,求
的前n项和
.
(19)(本小题满分12分)
若
是一个三位正整数,且
的个位数字大于十位数字,十位数字大于百位数字,则称
为“三位递增数”(如137,359,567等).
在某次数学趣味活动中,每位参加者需从所有的“三位递增数”中随机抽取1个数,且只能抽取一次.得分规则如下:若抽取的“三位递增数”的三个数字之积不能被5整除,参加者得0分;若能被5整除,但不能被10整除,得
分;若能被10整除,得1分.
(I)写出所有个位数字是5的“三位递增数” ;
(II)若甲参加活动,求甲得分
的分布列和数学期望
.
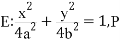
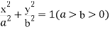
(20)(本小题满分13分)
平面直角坐标系
中,已知椭圆
:
的离心率为
,左、右焦点分别是
.以
为圆心以3为半径的圆与以
为圆心1为半径的圆相交,且交点在椭圆
上.
(Ⅰ)求椭圆
的方程;
(Ⅱ)设椭圆
为椭圆
上任意一点,过点
的直线
交椭圆
于
两点,射线
交椭圆
于点
.
( i )求
的值;
(ii)求△
面积的最大值.
(21)(本小题满分14分)
设函数
,其中
。
(Ⅰ)讨论函数
极值点的个数,并说明理由;
(Ⅱ)若
>0,
成立,求
的取值范围。
(文章来源招生考试网,转载请注明原文出处: https://www.sczsxx.com/html/gaokaoziyuan/liniangaokaoshiti/2015/0609/119549.html)
- 热门内容